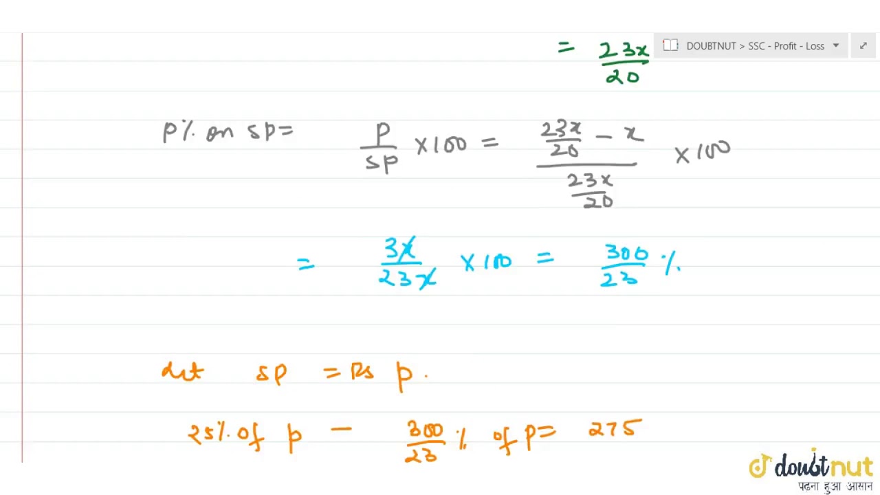
"Vineet calculates his profit percentage on the selling price whereas Roshan calculates his profit on the cost price. They find the difference of
their profits is Rs. 275. If the selling price of both of them are the same
and Vineet gets 25% profit whereas Roshan gets 15% profit, find their selling
price.
a. `R s .2100`
b. `R .2300`
c. `R s .2250`
d. `R s .2350`"

0 Comments